UNIVERSIDAD DEL VALLE DE GUATEMALA
FACULTAD DE CIENCIAS Y HUMANIDADES
TERMODINAMICA I
PROPIEDADES DEL AGUA SATURADA
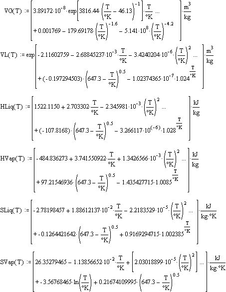
Las propiedades de Saturación del Agua, se encuentran en las Tablas de Vapor o se pueden evaluar aplicando las Ecuaciones de González Pozo, para T en [°K]:

